Beranda
/ Rumus Modus Data Kelompok : Statistik 2 Mean Median Modus Data Kelompok : Sebuah analisis data akan berhasil apabila dilakukan secara bertahap yaitu dengan mencari ukuran pemusatan data yang.
Rumus Modus Data Kelompok : Statistik 2 Mean Median Modus Data Kelompok : Sebuah analisis data akan berhasil apabila dilakukan secara bertahap yaitu dengan mencari ukuran pemusatan data yang.
Rumus Modus Data Kelompok : Statistik 2 Mean Median Modus Data Kelompok : Sebuah analisis data akan berhasil apabila dilakukan secara bertahap yaitu dengan mencari ukuran pemusatan data yang.. Maka kita akan menemukan 2 buah modus yaitu 5 dan 7 karena muncul sebanyak 2 kali. Cara menghitung modus data kelompok dapat dilakukan dengan menggunakan rumus yang tersedia. Untuk menentukan modus, biasanya pada data tunggal dibuat tabel frekuensi data tunggal agar memudahkan dalam menentukan frekuensi tiap data, lalu temukan data dengan frekuensi terbesar. Pengertian modus data kelompok menurut para ahli. Selanjutnya akan dijelaskan rumus mean data kelompok.
Terdapat dua bentuk modus,yaitu modus data tunggal dan modus data kelompok. Dalam data kelompok yang disajikan frekuensinya, modus merupakan nilai dengan frekuensi paling besar. Pengertian modus data kelompok menurut para ahli. Karena bentuk penyajian datanya disajikan dalam bentuk kelompok,maka datanya tidak dapat. Belajar modus data berkelompok dengan video dan kuis interaktif.
Pengertian Nilai Modus Cara Mencari Dan Contoh Soal Statmat Net from www.statmat.net Data tunggal dan data kelompok (pengertian, rumus, contoh, kumpulan soal dan pembahasan). Sebelum membahas rumus mean data kelompok, rumus median data kelompok, dan rumus modus data kelompok, sebaiknya perhatikan sekian pembahasan mengenai rumus mean, median, modus data kelompok. Lalu bagaimanakah cara menganalisis data kelompok tersebut?dan bagaimanakah rumus mean data kelompok, media data kelompok, dan rumus modus data kelompok itu? Menghitung mean, median dan modus data kelompok. Bagaimana rumus modus data kelompok tersebut, dapat kita lihat seperti persamaan di bawah berikut ini Kakak akan mulai membahas dari yang paling mudah, yaitu data tunggal. Untuk menghitung mode, kita cukup menghitung berapa kali setiap nilai muncul dalam kumpulan data dan kemudian menemukan nilai yang paling sering muncul. Namun untuk data kelompok biasanya menggunakan rumus tertentu untuk mencari modusnya.
Kembali lagi bersama gue pajar seorang penulis blog ganteng :d.
Tepi bawah dari kelompok yang didapat dari n/2. Rumus mean, median, modus untuk data tunggal berbeda dengan rumus mean,median,modus untuk data kelompok. Modus untuk data tunggal dapat ditentukan dengan mengelompokkan nilai data yang sama, kemudian kelompok nilai data yang paling banyak adalah modus data tersebut. Kembali lagi bersama gue pajar seorang penulis blog ganteng :d. Sehingga, nilai modus data kelompok tidak mudah untuk langsung didapatkan dan untuk menemukan nilai modus dari data kelompok tersebut maka kita perlu menggunakan sebuah rumus. Kakak akan mulai membahas dari yang paling mudah, yaitu data tunggal. Bibit tersebutterdiri atas 5.770 bibit jati, 2.650 bibit m … ahoni, 1.865 bibit sengon laut, dan sisanya bibit pinus.modus data tersebut adalah. Malam ini kita akan cari tahu lebih dalam apa itu modus dan bagaimana rumus. Jujur gue seneng banget kalo ada orang yang berkunjung ke blog gue. Lalu ada nilai modus kelompok yang membutuhkan sebuah rumus. Terdapat dua bentuk modus,yaitu modus data tunggal dan modus data kelompok. Berbagai data terkait rumus mean median dan modus data kelompok. Hal ini dikarenakan penyajian data kelompok yang disajikan dalam sebuah rentang kelas.
Dalam data kelompok yang disajikan frekuensinya, modus merupakan nilai dengan frekuensi paling besar. Median adalah nilai data tengah, dalam data kelompok memiliki rumus yang sama dengan mencari q2 ( kuartil 2. Entah itu modus data tunggal dan modus data kelompok. Lalu bagaimanakah cara menganalisis data kelompok tersebut?dan bagaimanakah rumus mean data kelompok, media data kelompok, dan rumus modus data kelompok itu? Belajar modus data berkelompok dengan video dan kuis interaktif.
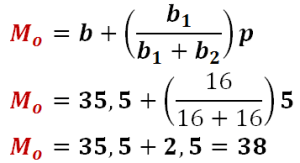
Contoh Soal Contoh Soal Modus Matematika Smk from hitungrumus.com Rumus mean median modus adalah bahasan materi statistika mengenai analisis ukuran pemusatan data. Metode statistik, jilid i dan ii. Rumus modus data kelompok dapat dilihat seperti persamaan di bawah. Kakak akan mulai membahas dari yang paling mudah, yaitu data tunggal. Mo = modus data tb = tepi bawah kelas modus b1 = selisih frekuensi kelas modus dengan kelas sebelumnya b2 = selisih frekuensi. Kamu akan diajak untuk memahami materi hingga metode menyelesaikan soal. Terdapat dua bentuk modus,yaitu modus data tunggal dan modus data kelompok. Lalu bagaimanakah cara menganalisis data kelompok tersebut?dan bagaimanakah rumus mean data kelompok, media data kelompok, dan rumus modus data kelompok itu?
Median pada data kelompok juga merupakan nilai tengah dari suatu kumpulan data.
Kli ini gw bakalan nge shere materi tentang rumus. Rumus mean, median, modus untuk data tunggal berbeda dengan rumus mean,median,modus untuk data kelompok. Metode statistik, jilid i dan ii. Tepi bawah dari kelompok yang didapat dari n/2. Data tunggal dan data kelompok (pengertian, rumus, contoh, kumpulan soal dan pembahasan). Menjelaskan materi rumus modus untuk memenuhi tugas sebelum uts statistik dasar#modus#datatunggal#datakelompok#statistika#pendidikan#matematika#unimus. Nahh agar kalian dapat memahami dengan cara visual. Belajar modus data berkelompok dengan video dan kuis interaktif. Mo = modus data tb = tepi bawah kelas modus b1 = selisih frekuensi kelas modus dengan kelas sebelumnya b2 = selisih frekuensi. Namun untuk data kelompok biasanya menggunakan rumus tertentu untuk mencari modusnya. Rumus mean median modus adalah bahasan materi statistika mengenai analisis ukuran pemusatan data. Modus data merupakan sebuah nilai data yang memiliki nilai frekuensi yang paling tinggi. Menghitung nilai tengah data yang telah disusun dalam tabel distribusi frekuensi data bergolong.
Nahh agar kalian dapat memahami dengan cara visual. Pada data tunggal mencari median cukup mudah, hanya dengan mengurutkan dari yang terkecil hingga terbesar langkah 1 urutkan data 2,5,5,7,7,6 menjadi 2,5,5,6,7,7. Mean, median, dan modus merupakan bahasan materi statistika dalam analisis ukuran pemusatan data. Modus data tunggal adalah penjelasan tentang suatu kelompok data dengan menggunakan nilai yang sering muncul dalam kelompok data tersebut. Rumus modus data kelompok dapat dilihat seperti persamaan di bawah.
Cara Mencari Mean Modus Dan Median Pada Data Kelompok from i1.wp.com Kamu akan diajak untuk memahami materi hingga metode menyelesaikan soal. į“į“Źį“ɓɢ į“ ÉŖ į“į“į“”į“Ź Źį“Ź į“į“Źį“ɓᓠᓠɪį“į“į“į“į“Ź Źį“sį“į“į“į“ į“į“į“sÉŖŹŹ. Atau bisa dikatakan juga nilai yang populer (menjadi mode) dalam sekelompok data. Modus untuk data tunggal dapat ditentukan dengan mengelompokkan nilai data yang sama, kemudian kelompok nilai data yang paling banyak adalah modus data tersebut. Nilai, rumus, contoh soal dan penyelesaiannya. Pada data tunggal mencari median cukup mudah, hanya dengan mengurutkan dari yang terkecil hingga terbesar langkah 1 urutkan data 2,5,5,7,7,6 menjadi 2,5,5,6,7,7. Sebelum dibahas mengenai rumus mean dari data kelompok, kemudian rumus median dari data kelompok, serta rumus modus dari data kelompok, maka anda bisa perhatikan sehingga rumus mencari mean pada data kelompok juga berbeda dengan rumus nilai mean untuk data tunggal. Hal ini dikarenakan penyajian data kelompok yang disajikan dalam sebuah rentang kelas.
Belajar modus data berkelompok dengan video dan kuis interaktif.
Tepi bawah dari kelompok yang didapat dari n/2. Lalu bagaimanakah cara menganalisis data kelompok tersebut?dan bagaimanakah rumus mean data kelompok, media data kelompok, dan rumus modus data kelompok itu? Maka saya akan membagikan contoh soal modus data kelompok terkait. Malam ini kita akan cari tahu lebih dalam apa itu modus dan bagaimana rumus. Perlu diakui ini merupakan perhitungan matematika yang sering ditemui dalam kehidupan simbol untuk median ini yaitu me. Selain rumus mean data kelompok dan rumus median data kelompok di atas. Sehingga, nilai modus data kelompok tidak mudah untuk langsung didapatkan dan untuk menemukan nilai modus dari data kelompok tersebut maka kita perlu menggunakan sebuah rumus. Kembali lagi bersama gue pajar seorang penulis blog ganteng :d. Bagaimana rumus modus data kelompok tersebut, dapat kita lihat seperti persamaan di bawah berikut ini Ukuran gejala pusat data belum dikelompokkan dimaksudkan sebagai besaran atau ukuran untuk. Belajar modus data berkelompok dengan video dan kuis interaktif. Menjelaskan materi rumus modus untuk memenuhi tugas sebelum uts statistik dasar#modus#datatunggal#datakelompok#statistika#pendidikan#matematika#unimus. Namun untuk data kelompok biasanya menggunakan rumus tertentu untuk mencari modusnya.
Berbagi
Posting Komentar
untuk "Rumus Modus Data Kelompok : Statistik 2 Mean Median Modus Data Kelompok : Sebuah analisis data akan berhasil apabila dilakukan secara bertahap yaitu dengan mencari ukuran pemusatan data yang."
Posting Komentar untuk "Rumus Modus Data Kelompok : Statistik 2 Mean Median Modus Data Kelompok : Sebuah analisis data akan berhasil apabila dilakukan secara bertahap yaitu dengan mencari ukuran pemusatan data yang."